LeetCode Top Interview Questions [Medium Collection]
Tree And Graph
Binary Tree Inorder Traversal
- 그냥 중위 순회 하면됨. 재귀 호출
class Solution
{
void inOrderTraversal(TreeNode *root, vector<int> &v)
{
if (root == nullptr)
return;
// 왼쪽 서브트리를 중위 순회
inOrderTraversal(root->left, v);
// 루트 노드를 방문
v.push_back(root->val);
// 오른쪽 서브트리를 중위 순회
inOrderTraversal(root->right, v);
}
public:
vector<int> inorderTraversal(TreeNode *root)
{
vector<int> a;
inOrderTraversal(root, a);
return a;
}
};
Binary Tree Zigzag Level Order Traversal
- BFS를 통해 해당 값을 저장한 뒤에 reverse를 통해 돌려줌. 정방향 역방향은, count를 세서 하였다.
class Solution
{
public:
vector<vector<int>> zigzagLevelOrder(TreeNode *root)
{
vector<vector<int>> ans;
queue<TreeNode *> q;
if (root != nullptr)
{
q.push(root);
}
int count = -1;
while (!q.empty())
{
count++;
ans.push_back({});
int num = q.size();
for (int i = 0; i < num; ++i)
{
TreeNode *node;
// 정방향 역방향
node = q.front();
q.pop();
if (node == nullptr)
{
continue;
}
ans[count].push_back(node->val);
if (node->left)
q.push(node->left);
if (node->right)
q.push(node->right);
}
if (count % 2 == 1)
{
reverse(ans[count].begin(), ans[count].end());
}
}
return ans;
}
};
Construct Binary Tree from Preorder and Inorder Traversal
-
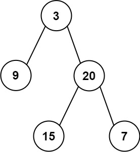
전위 순회와 중위 순회가 주어질 경우 리스트를 구성 풀이 방법이 조금 어려웠다. 분할 정복으로 해결.
preorder의 1번은 root에 해당.inorder을 기준으로 root의 좌우로 나뉜다.-
좌/우 리스트에서 root를 찾은 다음에 해당값을 기준으로
inorder,preorder을 나누고 다시 서치하게 함.ex)
preorder = [3,9,20,15,7], inorder = [9,3,15,20,7]위와 같은 값이 들어온다. - root = 3 (
preorder[0]) -
inorder에서 3을 기준으로 좌우로 나눈다.
-
좌 = inorder = [9],preorder =[9]⇒ root = 9로 종료
-
우 = inorder = [15,20,7],preorder = [20,15,7]⇒ root =
preorder [0] = 20,inorder에서20을 기준으로 분할
-
-
좌, 우 에서 해당을 기준으로 다시 나눈다.
우측 노드
(20 = root)기준으로- 좌 root = 15
- 우 root = 7

class Solution
{
TreeNode *build(
const vector<int> &preorder, const int preStart,
const int inStart, const int inEnd,
const unordered_map<int, int> &inorderIndex)
{
if (inStart > inEnd)
return nullptr;
int rootVal = preorder[preStart];
TreeNode *root = new TreeNode(rootVal);
const int ValueIndex = inorderIndex.at(rootVal);
int leftSize = ValueIndex - inStart;
// 좌/우 서브트리 재귀 호출 idx값을 중심으로 좌우로 나눈다.
// 좌 [inStart, idx - 1]
// 우 [idx + 1, inEnd]
root->left = build(preorder, preStart + 1, inStart, ValueIndex - 1, inorderIndex);
root->right = build(preorder, preStart + 1 + leftSize, ValueIndex + 1, inEnd, inorderIndex);
return root;
}
public:
TreeNode *buildTree(vector<int> &preorder, vector<int> &inorder)
{
// inorder 값 -> 인덱스 맵
// Find 코스트를 아끼기 위해 unordered_map사용
unordered_map<int, int> inorderIndex;
for (int i = 0; i < inorder.size(); i++)
inorderIndex[inorder[i]] = i;
return build(preorder, 0, 0, inorder.size() - 1, inorderIndex);
}
};
PREVIOUS알고리즘 스터디 3주차
NEXT알고리즘 스터디 5주차